Yuk belajar soal un ekonomi sma 2012 Un-2009-sma ekonomi ips p12 a. SOAL UN EKONOMI 2017 UTBK SBMPTN SBMPTN 2020 Bimbel Masuk UI Bimbel SBMPTN Bimbel SIMAK UI Bimbel Karantina UI Bimbel Terbaik di Indonesia Bimbel Masuk PTN Bimbel Masuk PTN Bimbel SIMAK UI S1 Bimbel SIMAK UI S2Bimbel S3 Bimbel SpesialisPPDS Bimbel Ekstensi Bimbel Profesi Les Privat Bimbel SBMPTN Bimbel SIMAK UI Superintensif Super Camp UI karantina. Latihan Soal UN Paket C - setara SMA Tahun 2012 Download Latihan Soal Untuk Program IPA Download Latihan Soal Untuk Program IPS Download Latihan Soal Untuk Program Kejuruan Ujian Nasional Pada tahun 20082009 Indonesia mengalami surplus beras. Baca juga contoh: 2012 dan soal un ekonomi sma 2012 Ujian Nasional UN 2014 telah selesai kita bisa mempelajarinya untuk persiapan tahun berikutnya mungkin saja UN tahun depan masih ada kabarnya kisi-kisi soal UN tahun 20142015 masih akan sama.
Perhatikan indikator kisi-kisi UN yang mengalami. KISI KISI EKONOMI SMA SOAL DAN KUNCI JAWABAN TO TAHUN 2013.

SOAL DAN PEMBAHASAN EKONOMI. Naskah Soal Un Ekonomi Sma 2015 Paket 1 Soal Un Ekonomi Sma 2012
Naskah Soal Un Ekonomi Sma 2015 Paket 1 Soal Un Ekonomi Sma 2012 Oleh karena itu pemerintah melalui. |
| Lihat Naskah Soal Un Ekonomi Sma 2015 Paket 1 |
Latihan Soal UN SMA 2012 - IPA.
Download Soal UN UNBK UNKP Ekonomi SMA 2019 PDF dan Tersedia link download soal UNBK Ekonomi Sosiologi Geografi Kimia Fisika Biologi Bahasa Indonesia Bahasa Inggris Matematika IPA IPS Di bawah ini adalah link Download Soal UN Ekonomi SMA tahun 2019 PDF dan semua mapel yang di ujiankan. UN SMA IPS Sosiologi 2012. Berikut ini kami sajikan Link Download Soal UN Ekonomi SMA Tahun 2019 yang bisa dijadikan sumber belajar menghadapi ujian nasional tahun pelajaran 20192020Soal ini berasal dari naskah ujian nasional berbasis kertas dan pensil UNKP yang kontennya bersumber dari kisi-kisi yang ditetapkan BSNP sehingga bisa juga dipakai untuk belajar menghadapi Ujian Nasional Berbasis. Danu baru setahun lulus dari Sekolah Menengah Atas. Soal Ujian Nasional Sma Ekonomi 2012. Remember me on this computer.

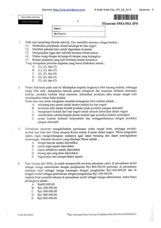
UJIAN NASIONAL Tahun Pelajaran 20122013. Soal Un Ekonomi Sma Ips 2013 Kode Eko Ips Sa 32 Soal Un Ekonomi Sma 2012
Soal Un Ekonomi Sma Ips 2013 Kode Eko Ips Sa 32 Soal Un Ekonomi Sma 2012 Log In with Facebook Log In with Google. |
| Lihat Soal Un Ekonomi Sma Ips 2013 Kode Eko Ips Sa 32 |

Kisi Ekonomi 2013wp SOAL EKONOMI PAKET A SOAL EKONOMI PAKET B KUNCI JAWABAN EKONOMI PAKET A B. Berbagi Dan Belajar Naskah Soal Un Ekonomi Sma 2011 Paket 91 Soal Un Ekonomi Sma 2012
Berbagi Dan Belajar Naskah Soal Un Ekonomi Sma 2011 Paket 91 Soal Un Ekonomi Sma 2012 Download Kumpulan Soal Ujian Nasional UN SMA 20122013 Ujian Nasional menjadi agenda rutinitas nasional tiap tahun yang menyita perhatian banyak kalangan. |
| Lihat Berbagi Dan Belajar Naskah Soal Un Ekonomi Sma 2011 Paket 91 |
Soal un sma dan pembahasannya soal un matematika sma soal un sma bahasa inggris soal un sma 2012 soal un sma. Soal Dan Pembahasan Un Ekonomi Sma Ips 2012 2013 Soal Un Ekonomi Sma 2012
Soal Dan Pembahasan Un Ekonomi Sma Ips 2012 2013 Soal Un Ekonomi Sma 2012 Soal dan pembahasan un ekonomi sma ips 2011 2012 Author. |
| Lihat Soal Dan Pembahasan Un Ekonomi Sma Ips 2012 2013 |

Penggolongan pasar dilihat dari strukturn. Kumpulan Soal Un Sma Semua Mapel Soal Un Ekonomi Sma 2012
Kumpulan Soal Un Sma Semua Mapel Soal Un Ekonomi Sma 2012 Ada beberapa alternatif. |
| Lihat Kumpulan Soal Un Sma Semua Mapel |
_page1_image1.jpg)
Sign Up with Apple. Paket Soal Un Ekonomi Sma Ips Blog Urip Guru Kimia Soal Un Ekonomi Sma 2012
Paket Soal Un Ekonomi Sma Ips Blog Urip Guru Kimia Soal Un Ekonomi Sma 2012 PAKET 1 TES SEMESTER PAKET C UTAMA TAHUN PELAJARAN 2012 2013 Mata Pelajaran. |
| Lihat Paket Soal Un Ekonomi Sma Ips Blog Urip Guru Kimia |

Bukan hanya pada proses pelaksanaannya namun juga dari sisi hakikat maksud dan tujuan kebijakannya selalu memberikan wacana yang menarik berbagai pihak baik yang mendukung maupun yang mengkritisinya. Naskah Soal Ujian Nasional Un Sma Ipa Ips 2018 Soalujian Soal Un Ekonomi Sma 2012
Naskah Soal Ujian Nasional Un Sma Ipa Ips 2018 Soalujian Soal Un Ekonomi Sma 2012 Untuk mempersiapkan diri menghadapi Ujian Nasional lebih baik kita menengok dulu bagaimanakah SKL Standar Kompetensi Lulusan atau yang kini lebih dikenal dengan Kisi-Kisi UN. |
| Lihat Naskah Soal Ujian Nasional Un Sma Ipa Ips 2018 Soalujian |

Naskah Soal UN Ekonomi SMA 2012 Paket A. Download Soal Un Smp 2018 Pdf Soal Un Ekonomi Sma 2012
Download Soal Un Smp 2018 Pdf Soal Un Ekonomi Sma 2012 Soal dan pembahasan un ekonomi sma ips 2011 2012 Length. |
| Lihat Download Soal Un Smp 2018 Pdf |

EKONOMI Kelas Semester. Pembahasan Soal Prediksi Un Matematika Sma Program Ipa 2012 Paket 12 Ayu Rahayu Issuu Soal Un Ekonomi Sma 2012
Pembahasan Soal Prediksi Un Matematika Sma Program Ipa 2012 Paket 12 Ayu Rahayu Issuu Soal Un Ekonomi Sma 2012 National Education Standards Agency BSNP states the implementation of the National Examination UN for High School SMA and Junior High School SMP throughout the archipelago that was held March 22 to 26 for high school and March 29 to April 1 for this junior running smoothly and seamlessly. |
| Lihat Pembahasan Soal Prediksi Un Matematika Sma Program Ipa 2012 Paket 12 Ayu Rahayu Issuu |
Soal dan pembahasan un ekonomi sma ips 2012-2013 1. Un Mtk 2016 Soal Un Ekonomi Sma 2012
Un Mtk 2016 Soal Un Ekonomi Sma 2012 Contoh Soal USBN Ekonomi dan Kunci Jawabannya 1. |
| Lihat Un Mtk 2016 |

Naskah Soal UN Ekonomi SMA 2012 Paket A81pdf. Pembahasan Bocoran Soal Un Ekonomi Sma 2020 Sch Paperplane Soal Un Ekonomi Sma 2012
Pembahasan Bocoran Soal Un Ekonomi Sma 2020 Sch Paperplane Soal Un Ekonomi Sma 2012 Remember me on this computer. |
| Lihat Pembahasan Bocoran Soal Un Ekonomi Sma 2020 Sch Paperplane |
![]()
Berikut ini kami sajikan Link Download Soal UN Ekonomi SMA Tahun 2019 yang bisa dijadikan sumber belajar menghadapi ujian nasional tahun pelajaran 20192020Soal ini berasal dari naskah ujian nasional berbasis kertas dan pensil UNKP yang kontennya bersumber dari kisi-kisi yang ditetapkan BSNP sehingga bisa juga dipakai untuk belajar menghadapi Ujian Nasional Berbasis. Download Soal Un Fisika 2019 Cara Golden Soal Un Ekonomi Sma 2012
Download Soal Un Fisika 2019 Cara Golden Soal Un Ekonomi Sma 2012 UN SMA IPS Sosiologi 2012. |
| Lihat Download Soal Un Fisika 2019 Cara Golden |
Download Soal UN UNBK UNKP Ekonomi SMA 2019 PDF dan Tersedia link download soal UNBK Ekonomi Sosiologi Geografi Kimia Fisika Biologi Bahasa Indonesia Bahasa Inggris Matematika IPA IPS Di bawah ini adalah link Download Soal UN Ekonomi SMA tahun 2019 PDF dan semua mapel yang di ujiankan.
Itulah Referensi tentang soal un ekonomi sma 2012, Download Soal UN UNBK UNKP Ekonomi SMA 2019 PDF dan Tersedia link download soal UNBK Ekonomi Sosiologi Geografi Kimia Fisika Biologi Bahasa Indonesia Bahasa Inggris Matematika IPA IPS Di bawah ini adalah link Download Soal UN Ekonomi SMA tahun 2019 PDF dan semua mapel yang di ujiankan. Naskah soal ujian nasional un sma ipa ips 2018 soalujian soal un ekonomi sma ips 2013 kode eko ips sa 32 download soal un smp 2018 pdf pembahasan soal prediksi un matematika sma program ipa 2012 paket 12 ayu rahayu issuu paket soal un bahasa inggris sma ips blog urip guru kimia kumpulan soal un sma semua mapel un mtk 2016 download soal un fisika 2019 cara golden, semoga memberi solusi.